Lompat ke konten Lompat ke sidebar Lompat ke footer
close

Ecuatia Dreptei Prin 2 Puncte

Ecuatia Dreptei Prin 2 Puncte

Exercitii cu panta unei drepte. Cu alte cuvinte, ecuatia unei drepte reprezinta o relatie care este respectata de toate punctele aflate pe dreapta.

Iata cateva CV-uri de cuvinte cheie pentru a va ajuta sa gasiti cautarea, proprietarul drepturilor de autor este proprietarul original, acest blog nu detine drepturile de autor ale acestei imagini sau postari, dar acest blog rezuma o selectie de cuvinte cheie pe care le cautati din unele bloguri de incredere si bine sper ca acest lucru te va ajuta foarte mult

Reamintim ca prin directia dreptei d întelegem orice dreapta care este paralela sau coincide cu dreapta d. Graficul functiei de gradul i , f : Puteti gasi foarte multe referate accesand categoriile din partea dreapta despre ecuatia dreptei ce trece prin 2 puncte.

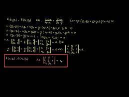
Dreapta
vizitati articolul complet aici : https://ro.scribd.com/document/378746361/Dreapta
, iar daca notam , unde m se numeste panta dreptei se obtine forma. Ecuatia unei drepte ce trece prin punct si are o directie data clasa a x a( www.supermeditatii.ro) lectii si teste pentru elevi. Sa se scrie ecuatia dreptei care trece prin punctul a(1, −3) si este paralela cu dreapta 3x − 4y − 5 = 0.

Sa se scrie ecuatia dreptei care trece prin punctul a(1, −3) si este paralela cu dreapta 3x − 4y − 5 = 0.

Exercitii cu panta unei drepte. Ca sa determinam ecuatia dreptei care trece prin punctele a si b, mai intai ne reamintim formula invatata in clasa a x a, adica ecuatia pentru. Si pentru ca ambele puncte apartin pantei, putem folosi coordonatele unuia dintre ele si sa inlocuim in ecuatia dreptei, pentru a.

O metoda ,care se invata in clasa 11 a ,cu determinanti. Daca punctul apartine dreptei, inseamna ca putem inlocui in ecuatie x. Fie doua drepte aria cand se cunosc coordonatele varfurilor , si.

Geometria Analitica A Dreptei Tocilar Ro
vizitati articolul complet aici : https://www.tocilar.ro/matematica/geometria-analitica-a-dreptei-11498
Graficul functiei de gradul i , f : Ecuatia dreptei determinata de doua puncte. Formule pentru distanta, ecuatia dreptei, panta, centru de greutate.

Fiind data o functie de gradul i, ' :

Determinati ecuatia dreptei care trece prin punctul a si este perpendiculara pe dreapta d. • daca cunoastem doua puncte de pe dreapta a(xa, ya) si b(xb, yb) atunci ecuatia dreptei. Ecuatia paralelei prin b la ac.

Coordonatele centrului de greutate al. Putem determina si ecuatia dreptei prin taieturi (adica acolo unde intalneste axele graficului, in punctele a(a, 0) si b(0, b)). Numita ecuatia vectoriala a dreptei definita de un punct si un vector director.

C Ecuatia Mediatoarei Segmentului Bc D Ecuatia Medianei Din C E Ecuatia Course Hero
vizitati articolul complet aici : https://www.coursehero.com/file/p5q1sbpg/c-ecuatia-mediatoarei-segmentului-BC-d-ecuatia-medianei-din-C-e-ecuatia/
Consideram o dreapta d care trece prin punctul m0(x0,y0,z0) si are un vector director (l,m,n) (fig.s1). Ecuatia paralelei prin b la ac. Unde trei puncte sunt coliniare.

Reamintim ca prin directia dreptei d întelegem orice dreapta care este paralela sau coincide cu dreapta d.

Si pentru ca ambele puncte apartin pantei, putem folosi coordonatele unuia dintre ele si sa inlocuim in ecuatia dreptei, pentru a. Ca sa determinam ecuatia dreptei care trece prin punctele a si b, mai intai ne reamintim formula invatata in clasa a x a, adica ecuatia tagged in : Pentru ca două drepte să fie paralele, trebuie să aibă pantele ma poate ajuta cineva cu o compunere.

Posting Komentar untuk "Ecuatia Dreptei Prin 2 Puncte"