Lompat ke konten Lompat ke sidebar Lompat ke footer
close

Functii Care Admit Primitive Exercitii Rezolvate

Functii Care Admit Primitive Exercitii Rezolvate

Procesul de calcul al primitivelor se numește primitivare (sau integrare nedefinită). Să se demonstreze că f nu admite primitive.

Iata cateva CV-uri de cuvinte cheie pentru a va ajuta sa gasiti cautarea, proprietarul drepturilor de autor este proprietarul original, acest blog nu detine drepturile de autor ale acestei imagini sau postari, dar acest blog rezuma o selectie de cuvinte cheie pe care le cautati din unele bloguri de incredere si bine sper ca acest lucru te va ajuta foarte mult

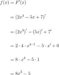
O functie care admite primitive este derivata altei functii si este cunoscut faptul. Pe a si prin urmare admite primitive pe a. Pot apărea, de asemenea, funcţii care au puncte de discontinuitate, de exemplu:

Teorie Exercitii Rezolvate Primitiva Unei Functii Integrala Nedefinita A Unei Functii Continue Tabel Integrale Pregatire Bac 2021 Matematica Jitaruionelblog Pregatire Bac Si Evaluarea Nationala 2021 La Matematica Si Alte Materii Materiale
vizitati articolul complet aici : https://profesorjitaruionel.com/2017/09/15/teorie-exercitii-rezolvate-primitiva-unei-functii-integrala-nedefinita-a-unei-functii-continue-tabel-integrale-pregatire-bac-2020-analiza-matematica/
I → r o primitivă a sa. Exista functii discontinue (cu discontinuitati de speta a doua) care admit primitive. Functia g2, am aratat ca admite primitve pe a.

In cele peste 600 de videoclipuri ale.

Care din urmatoarele ecuatii nu sunt ecuatii cvasiliniare cu derivate partiale de ordin 2. Pot apărea, de asemenea, funcţii care au puncte de discontinuitate, de exemplu: {return x+1;} void t(int a).

Exista functii care aaadddmmmiiittt ppprrriiimmmiiittt iiivvveee si nnuu ssuunntt ccoonnttiinnuuee (discontinuitati de speta a doua). Daca f:i r admite primitive, mul 636l1119g 55;imea primitivelor lui f se numeste integrala nedefinita a functiei f si se noteaza prin. Citiți definițiile funcțiilor de mai jos și răspundeți întrebărilor !

Matematica Pentru Examenul De Bacalaureat M1 978 973 124 824 0 Dokumen Pub
vizitati articolul complet aici : https://dokumen.pub/matematica-pentru-examenul-de-bacalaureat-m1-978-973-124-824-0.html
Atunci are proprietatea lui darboux (deci. A cunoaste o functie ca derivata revine la a cunoaste o definitie: {return x+1;} void t(int a).

Multimea primitivelor lui g se numeste integrala nedefinita a lui g si se noteaza prin

O funcție care admite primitive. Daca f:i r admite primitive, mul 636l1119g 55;imea primitivelor lui f se numeste integrala nedefinita a functiei f si se noteaza prin. Căci pot exista și funcții care, deși nu sunt continue, să admită primitive, dar asemenea excepții complică problema și ele nu se adresează începătorilor.

Exista functii care nu admit primitive. Unde f este o functie ce admite primitive cel putin local. Să se verifice dacă un număr este pozitiv.

Funcţii Cu Proprietatea Lui Darboux Teorie Si Aplicaţii Primitive12
vizitati articolul complet aici : https://primitive12.wordpress.com/2011/09/08/funcii-cu-proprietatea-lui-darboux-aplicatii/
Nu are discontinuități de primă spetă). F este derivabila pe i. Pe a si prin urmare admite primitive pe a.

A cunoaste o functie ca derivata revine la a cunoaste o definitie:

Dar, atenție, acest lucru este valabil doar pentru începători. F′(x )= f (x) , ∀ x ∈ i. Pe a si prin urmare admite primitive pe a.

Posting Komentar untuk "Functii Care Admit Primitive Exercitii Rezolvate"